Crear a Free
CREATE A FREE POPTIN ACCOUNT NOW Poptin is a pop ups & contact forms web application
show more
.sdfsdfsdf..
Open main menu
Open main menu
language
العربية
French
English
Open main menu
Theme
Light
Dark
System
Open main menu
news
university
faculties
formation
research
Platforms
cooperation
presentation
functioning
usthb's organs
practical information
cultural and sports activities
cos
news
university
presentation
functioning
usthb's organs
practical information
cultural and sports activities
cos
faculties
faculty of biological sciences
faculty of chemistry
faculty of civil engineering
faculty of earth sciences, geography and territorial planning
faculty of electrical engineering
faculty of computer science
faculty of mathematics
faculty of physics
faculty of process and mechanical engineering
formation
training offers
understand the lmd
register at the usthb
internships
tutoring
integration of graduates
research
dspace: local theses
presentation
research activities
research laboratories
post graduation
valorization
balance sheets of research laboratories
Platforms
national platforms portal
campus platforms
cooperation
Search
Cancel
Home
pages
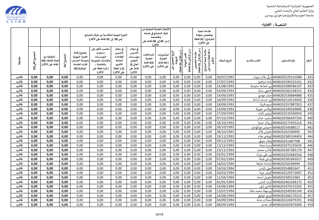
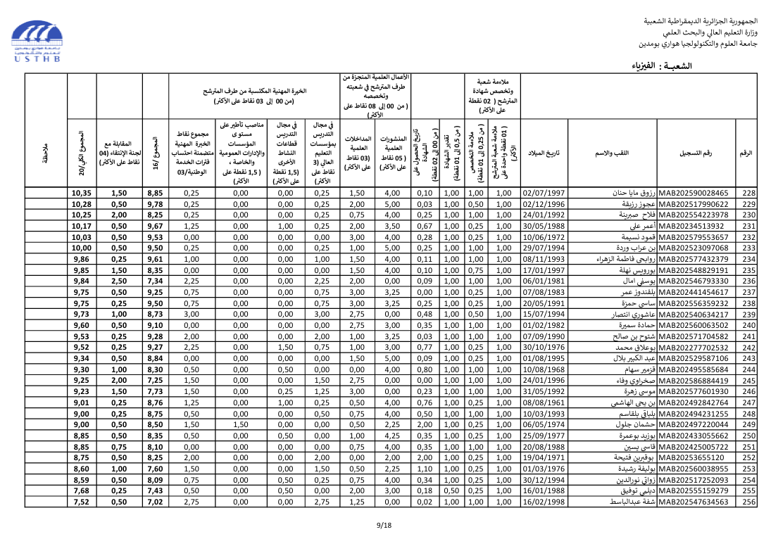
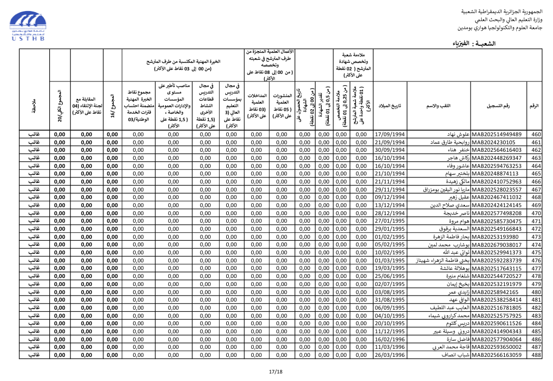
preliminary results recruitment assistant professor 2025 second session: physics
preliminary results recruitment assistant professor 2025 second session: physics
Facebook
Twitter
Messenger
Linkedin
Whatsapp
Telegram