.sdfsdfsdf..
preliminary results for the recruitment competition for assistant professor 2025 second session: biology

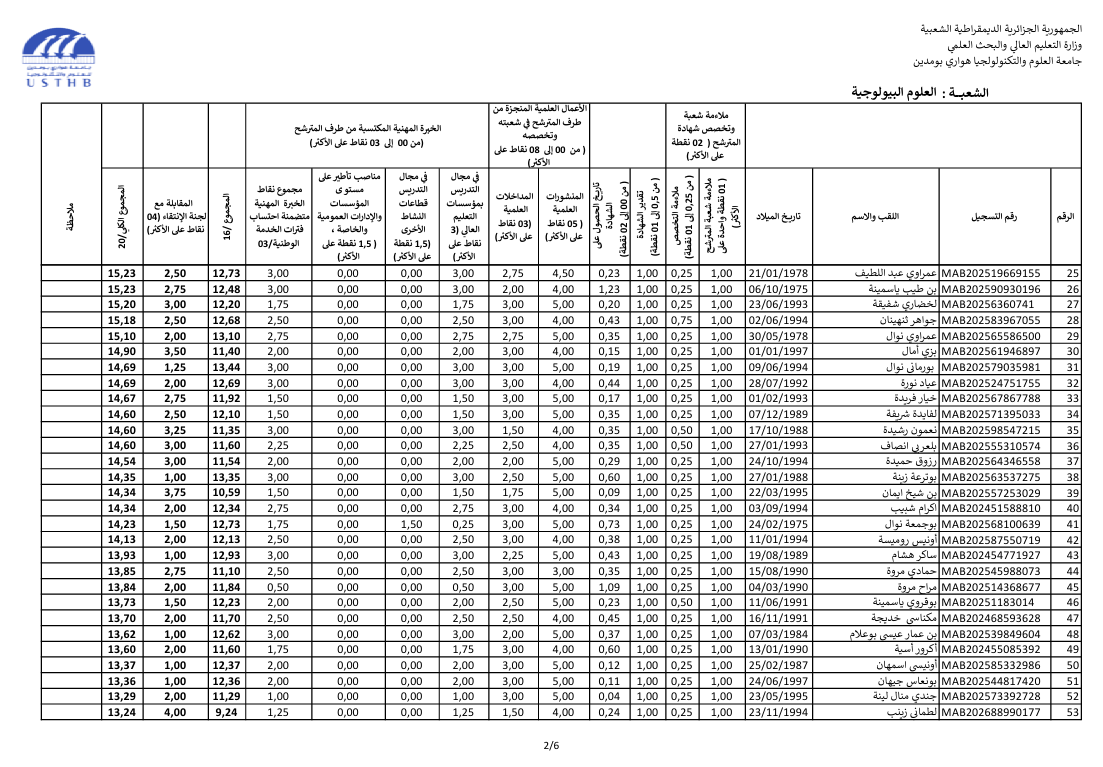
Spécialité : Sciences Biologiques

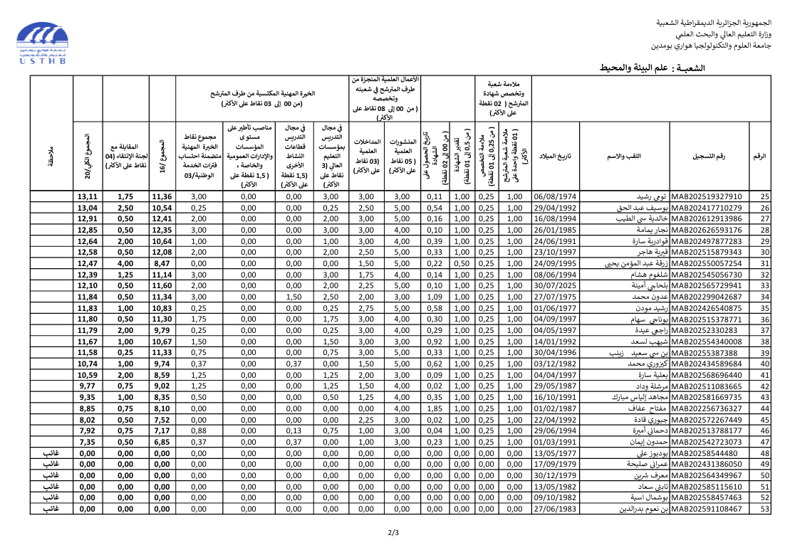
Spécialité : Environnement

Spécialité : BioTechnologie